Увага 100 балів.
Обчисліть визначені інтеграли, використовуючи заміну змінної.
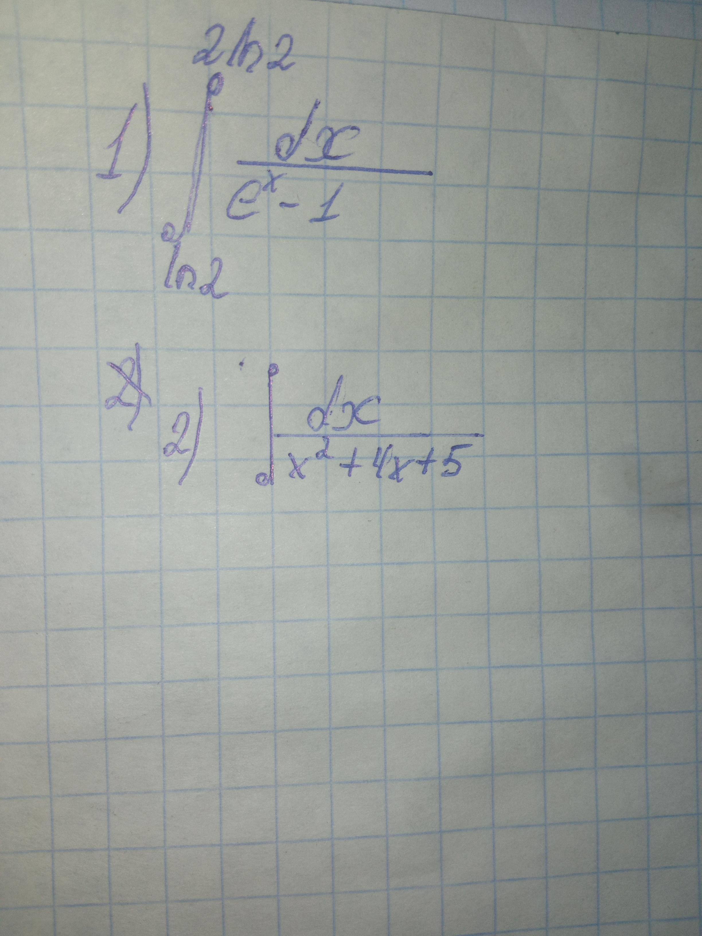
Приложения:

bena20193:
что написано в верхней границе первого интеграла? 2ln2?
Ответы
Ответ дал:
1
Ответ:
Пошаговое объяснение:
1) введем новую переменную
eˣ-1=y ; eˣ=y+1; d(eˣ)=d(y+1) ; eˣdx=dy; dx=dy/eˣ=dy/(y+1)
сначала вычислим неопределенный интеграл
∫dx/(eˣ-1)=∫dy/(y(y+1))
' 1/(y(y+1))=(1/y)-(1/(y+1))
=∫[(1/y)-(1/(y+1))]dy=∫dy/y - ∫dy/(y+1)=lnIyI-lnIy+1I+c=lnIeˣ-1I+lneˣ +c
теперь вычислим определенный интеграл
2ln2 2ln2
∫dx/(eˣ-1)=(lnIeˣ-1I+lneˣ)= (lnIe^(2ln2)-1I+lne^2ln2)-(lnIe^(ln2)-1I+lne^ln2)=
ln2 ln2
=ln(4-1)+ln4-(ln(2-1)+ln2))=ln3+ln4-ln2=ln3+2ln2-ln2=ln3+ln2=ln6
2) ∫dx/(x²+4x+5)=∫dx/(x²+4x+4+1)=∫dx/((x+2)²+1)=
введем новую переменную
x+2=y ; dx=dy
∫dx/(x²+4x+5)=∫dy/(y²+1)=arctgy+c=arctg(x+2)+c
₁
∫dx/(x²+4x+5)=arctg(1+2)-arctg(2)=arctg(3)-arctg(2)
⁸
Вас заинтересует
2 года назад
2 года назад
2 года назад
2 года назад
7 лет назад
7 лет назад
9 лет назад
9 лет назад