Ответы
Ответ дал:
1
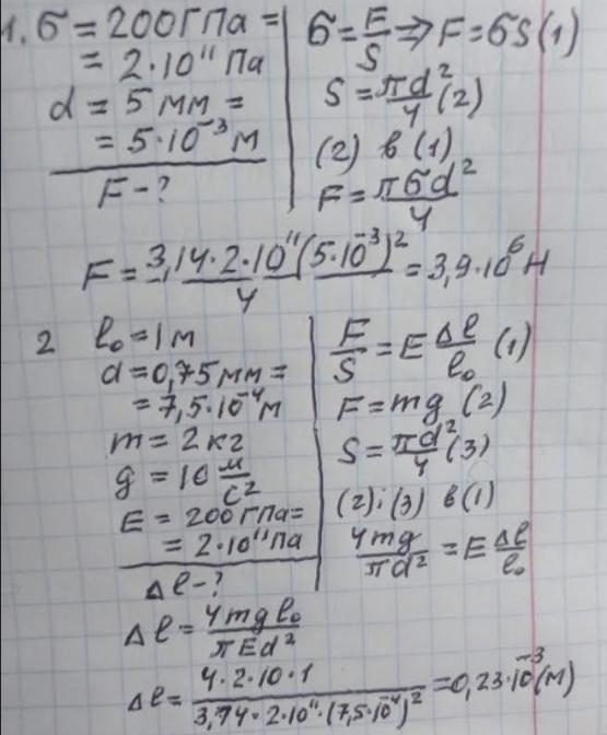
Відповідь: 1. 3,9 МН 2. 0,23 мм
Пояснення:
Приложения:

Вас заинтересует
2 года назад
2 года назад
2 года назад
7 лет назад
7 лет назад
9 лет назад