Найдите наименьшее положительное значение функции

IUV:
15/6=2,5
Ответы
Ответ дал:
1
Ответ:
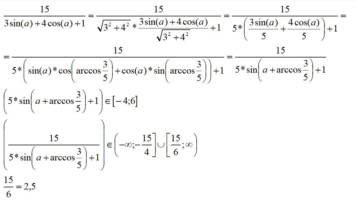
альтернативный способ (не через производную) во вложении
Объяснение:
Приложения:

исправил вид скобок
там где бесконечность не могут быть квадратные скобки )))
Вас заинтересует
2 года назад
2 года назад
2 года назад
7 лет назад
9 лет назад