• Предмет: Алгебра
  • Автор: DeroyLine
  • Вопрос задан 3 года назад

Помооогите найти производную функцию и решить уравнение!!
Очень нужно

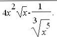
Приложения:

Ответы

Ответ дал: Barabanen228
1

Ответ:

Объяснение:

1. найти производную

(4x²•√(x)- 1/³√(x^5))'=(4x²•√(x))'-(1/³√(x^5))'=(4x²•x^1/2)'-(1/x^5/3)'=

=4(x^5/2)'-(x^-5/3)'=4•(5/2)•x^(5/2-1)-(-5/3)•x^(-5/3-1)=10x^(3/2)+5/3•x^(-8/3)=

=10•x•x^(1/2)+5/3•1/x^(8/3)=10x•√(x)+5/3•1/x²•x^(2/3)=

=10x√(x)+5/3•1/(x²•³√(x²))=10x√(x)+5/(3x²³•√(x²))

2.log по осн 6 от (x+2)=2;

6^(log по основанию 6 от (x+2)=6²;

(x+2)=36;

x=34.


DeroyLine: Блин если не сложно напиши на бумаге и скинь а то так вообще не понятно как и что писать!
Вас заинтересует