• Предмет: Математика
  • Автор: gayanton151
  • Вопрос задан 3 года назад

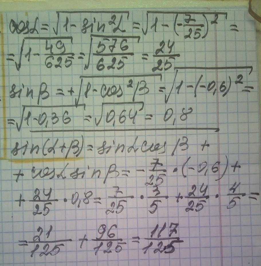
Дано: sin α = ‒ 7/25 ; cos β = -0,6 ; 3π/2 < α < 2π ; π/2 < β < π . Найти: sin(α+β).

Ответы

Ответ дал: manyny06
0

Ответ:

решение смотри на фотографии

Приложения:
Вас заинтересует