Ответы
Ответ дал:
0
Ответ:
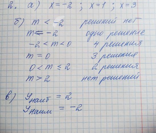
а) нули этой функции
б)число решений уравнения f(x)=m в зависимости от m.
в) наибольшее и наименьшее значения этой функции из отрезка |-4,4|
г) промежутки, на которых заданная функция положительна и отрицательна
Приложения:

Вас заинтересует
2 года назад
2 года назад
2 года назад
2 года назад
7 лет назад
7 лет назад
9 лет назад