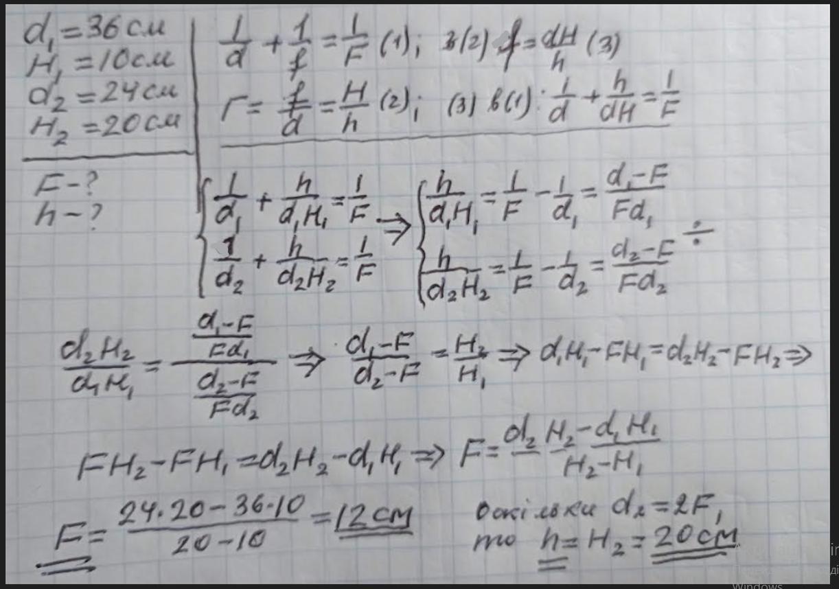
Якщо предмет розташований на відстані 36 см від збиральної лінзи, то
висота його зображення 10 см, а якщо на відстані 24 см — висота його
зображення 20 см. Визначте фокусну відстань лінзи та висоту предмета.
Ответы
Ответ дал:
1
Відповідь: 12 см 20 см
Пояснення:
Приложения:

Вас заинтересует
2 года назад
2 года назад
7 лет назад
9 лет назад