• Предмет: Математика
  • Автор: Аноним
  • Вопрос задан 3 года назад

помогите пожалуйста ​

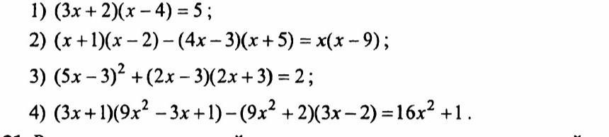
Приложения:

Аноним: Скачай photom@th в g0ogle m@rket - по идее он должен такое решить (про @ppstore не знаю) - мне лень решать
Аноним: @ - это а
Stardewpeople2: Там где нету знака, это умножение?

Ответы

Ответ дал: MuhammadGulu
1

1) Ответ: -1 ; 4целых1/3

(3x + 2)(x - 4) = 5 \\  {3x}^{2}  - 12x + 2x - 8 - 5 = 0 \\  {3x}^{2}  - 10x - 13 = 0

Через Дискриминант:

D=-4ac=(-10)²-43(-13)=100+156=256

x1x2=(-b±D)/2a=(-(-10)±256)/23=(10±16)/6=-1;4 1/3

2) Ответ: (1+√113)/-12 ; (1-√113)/-12

(x + 1)(x - 2) - (4x - 3)(x + 3) = x(x - 9) \\  {x}^{2}  - 2x + x - 2 -  {4x}^{2}  - 12x + 3x + 9 =  {x}^{2}  - 9x \\  -  {3x}^{2}  - 10x + 7 -  {x}^{2}  + 9x = 0 \\  -  {4x}^{2}  - x + 7 = 0

Через Дискриминант:

D=-4ac=(-1)²-4(-4)7=1+112=113

x1x2=(-b±D)/2a=(-(-1)±113)/2(-4)=(1±113)/-12

3) Ответ: (30+√1132)/58 ; (30-√1132)/58

 {(5x - 3)}^{2}  + (2x - 3)(2x + 3) = 2 \\  {25x}^{2}  - 30x + 9 +  {4x}^{2}  - 9  - 2 = 0 \\  {29x}^{2}  - 30x - 2 = 0

Через Дискриминант:

D=-4ac=(-30)²-429(-2)=900+232=1132

x1x2=(-b±D)/2a=(-(-30)±1132)/229=(30±1132)/58

4) Ответ: 1 ; 2

(3x + 1)( {9x}^{2}  - 3x + 1) - ( {9x}^{2}  + 2)(3x - 2)   =   {16x}^{2}  + 1   \\   {27x}^{3}  + 1 -  {27x}^{3}   +   {18x}^{2}  - 6x + 4 -  {16x}^{2}  - 1 = 0  \\  {2x}^{2}  - 6x + 4 = 0  \\   {x}^{2}  - 3x + 2 = 0

Через Виета:

x1+x2=-p

x1x2=q

x1+x2=-(-3)=3

x1•x2=2

x1=1

x2=2

Вас заинтересует