• Предмет: Математика
  • Автор: valeraivlev777
  • Вопрос задан 3 года назад

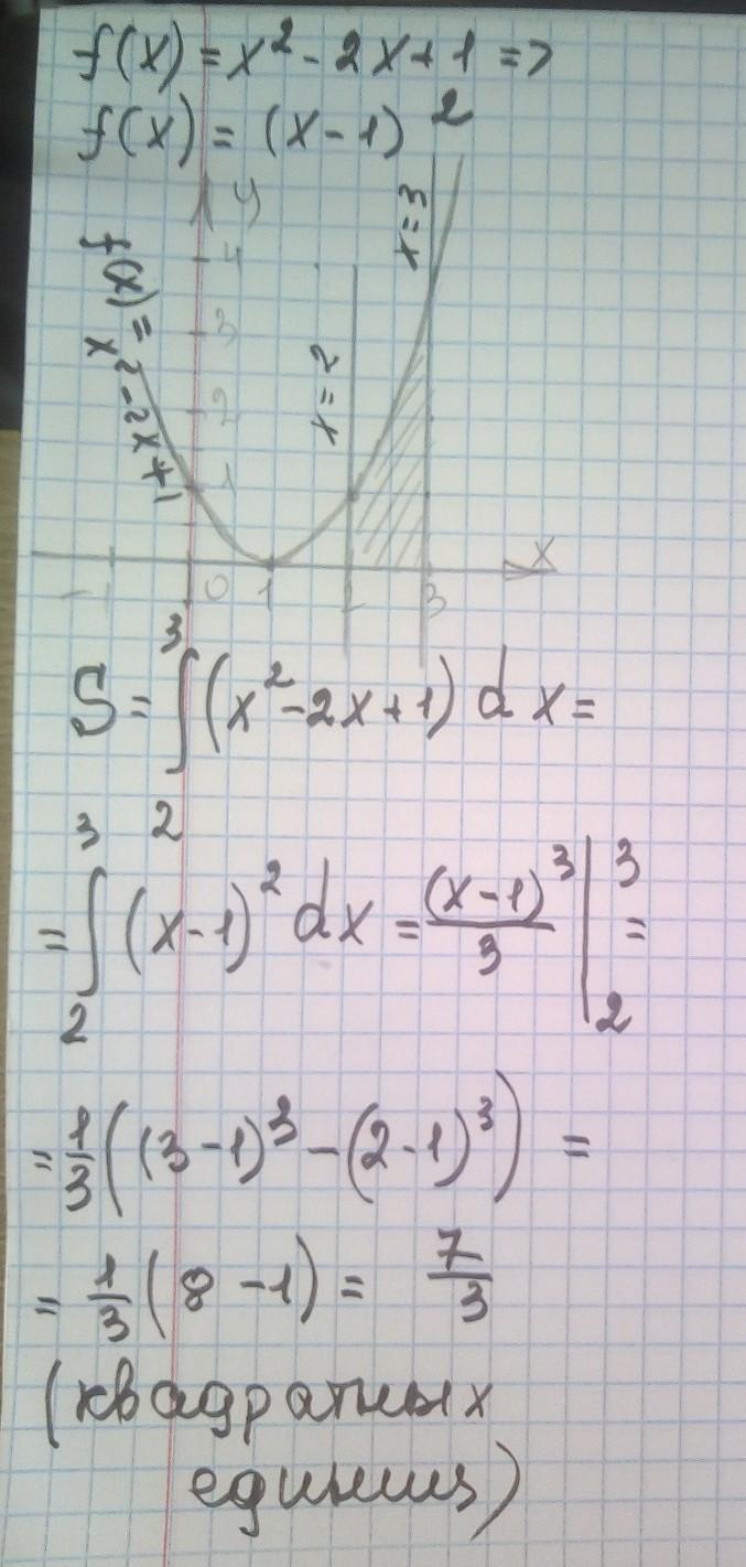
Найдите площадь криволинейной трапеции ограниченной линиями f(x)=x^2-2x+1,x=2,x=3,y=0

Ответы

Ответ дал: manyny06
0

Ответ:

решение смотри на фотографии

Приложения:
Вас заинтересует