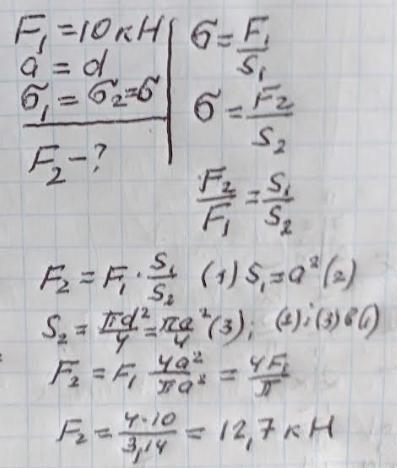
Квадратний стальний брусок розірвався при навантаженні 10
кН. При якому навантаженнi розірветься брусок з такого ж
матеріалу і тої ж товщини, але круглого поперечного
перерізу
Ответы
Ответ дал:
1
Відповідь: 12,7 кН
Пояснення:
Приложения:

Вас заинтересует
2 года назад
2 года назад
2 года назад
7 лет назад
7 лет назад