• Предмет: Математика
  • Автор: burkopavlo2002
  • Вопрос задан 3 года назад

Помогите пожалуйста с заданием

Приложения:

Ответы

Ответ дал: ZlataSergeeva2000
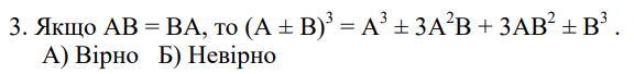
1

Ответ:

А) Верно

Пошаговое объяснение:

1.

(а + b)³ = (a + b) ·(a² + 2ab + b²) =
= a³ +2a²b + ab² + a²b + 2ab² + b³ =
= a³ + 3a²b + 3ab² + b³

2.

(а - b)³ = (a - b) ·(a² - 2ab + b²) =
= a³ - 2a²b + ab² - a²b + 2ab² - b³ =
= a³ - 3a²b + 3ab² - b³

Или, если совместить результаты 1 и 2 , то получим:

(а + b)³ = a³ ± 3a²b + 3ab² ± b³

Вас заинтересует