• Предмет: Физика
  • Автор: Аноним
  • Вопрос задан 3 года назад

мені потрібно здавати до завтра, потрібно повна відповідь​, відповідь на фотографії?​

Приложения:

Ответы

Ответ дал: zybkov1950
2

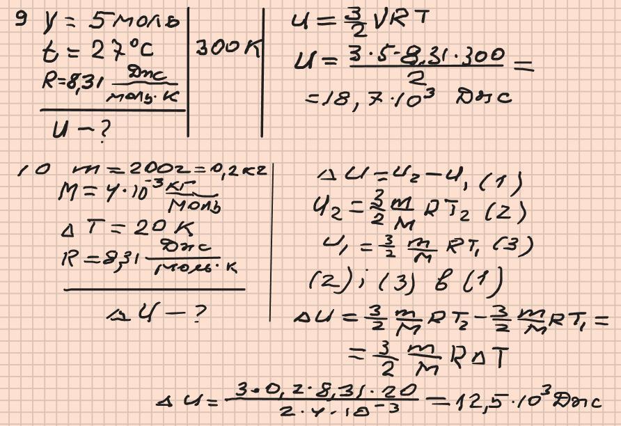
Відповідь: 18,7 кДж      12,5 кДж

Пояснення:

Приложения:
Вас заинтересует