• Предмет: Алгебра
  • Автор: wardalyanow
  • Вопрос задан 3 года назад

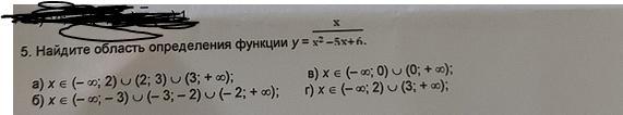
ПОмогите пожалуйста 222

Приложения:

Ответы

Ответ дал: darkness88lucifer
0

Ответ:

числитель может быть определен во всем диапозоне чисел, а вот знаменатель не должен быть равен 0.

найдем когда он равен 0.

 {x}^{2}  - 5x + 6 = 0

по теореме виета узнаем, что корни равны 2 и 3

2×3=6

-(2+3)=-5

что соответствует коэффициентам.

следовательно ответ А

Вас заинтересует