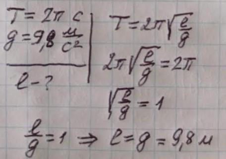
Математичний маятник має період коливань 2π с. Визначте його довжину.
1- 1 м
2- 2 м
3- 5 м
4- 9,8 м
5- 11,2 м
Ответы
Ответ дал:
3
Відповідь: 4- 9,8 м
Пояснення:
Приложения:
Вас заинтересует
2 года назад
2 года назад
2 года назад
2 года назад
8 лет назад
8 лет назад
9 лет назад