• Предмет: Алгебра
  • Автор: makarevichtab
  • Вопрос задан 3 года назад

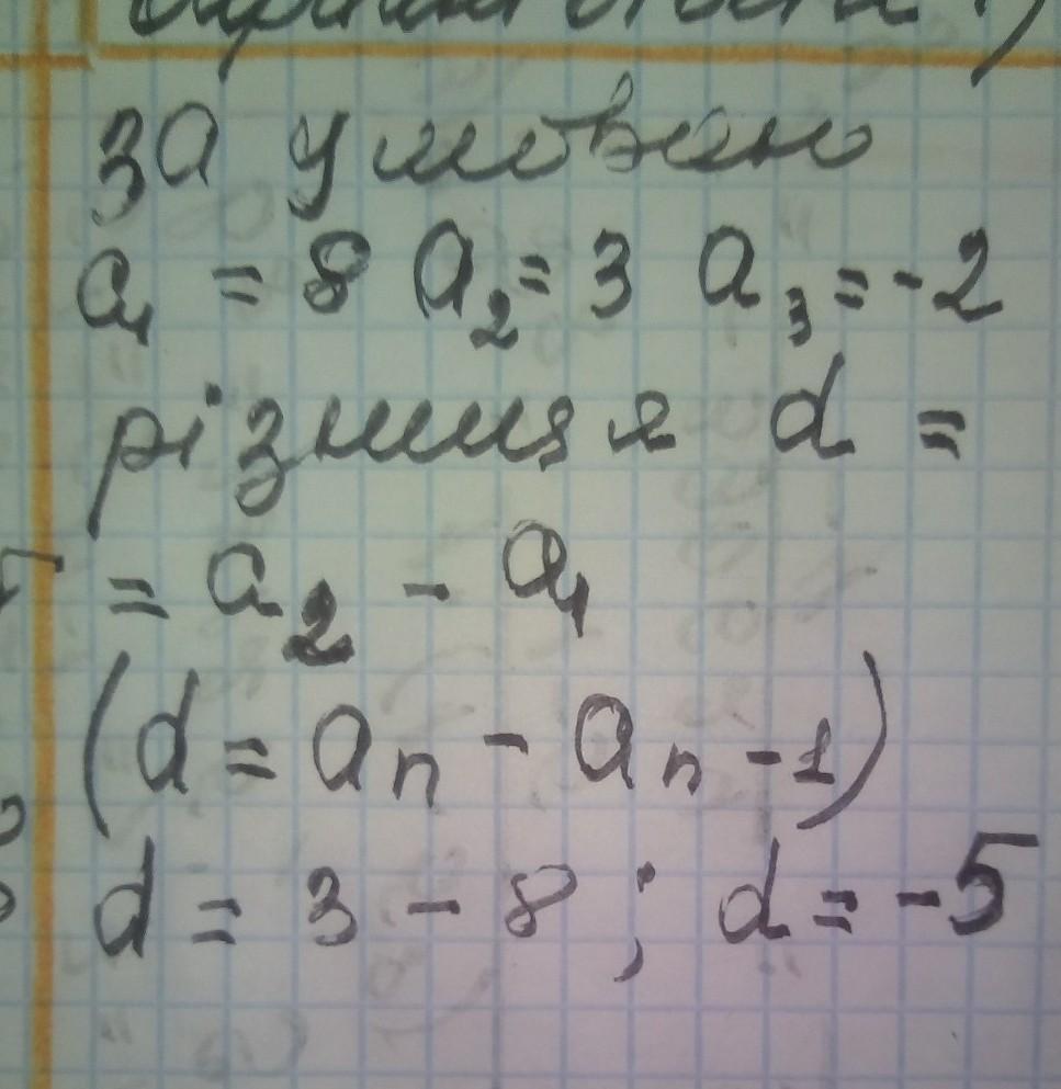
прокоментуйте , як знайти різницю арефметичної прогресії 8;3;-2;... ​

Ответы

Ответ дал: manyny06
1

Ответ:

решение смотри на фотографии

Приложения:
Вас заинтересует