• Предмет: Математика
  • Автор: k0814716
  • Вопрос задан 3 года назад

помогите пожалуйста ​

Приложения:

Ответы

Ответ дал: dyexfnf
0

Ответ:

Пошаговое объяснение:

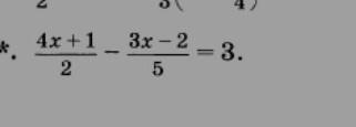
(4х + 1)/2 - (3х - 2)/5 = 3

5(4х +1 ) - 2(3х - 2) = 3 * 10

20х + 5 - 6х + 4 = 30

14х = 30 - 9

14х = 21

х = 21 : 14

х = 1,5

Ответ дал: ludmilaksenija2005
0

Пошаговое объяснение:

(4х+1)/2 - (3х-2)/5=3

5(4х+1)-2(3х-2)=3×10

20х+5-6х+4=30

14х=30-5-4

14х=21

Х=21:14

Х=1,5

Вас заинтересует