• Предмет: Математика
  • Автор: Olga19997
  • Вопрос задан 3 года назад

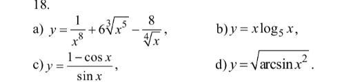
Обчислити похідну функції:
Фото нижче

Приложения:

Ответы

Ответ дал: natalyabryukhova
1

Ответ:

a) \displaystyle        y'=-\frac{8}{x^9} +10\sqrt[3]{x^2}+\frac{2}{\sqrt[4]{x^5} }

б) \displaystyle        y'=log_5(ex)

c) \displaystyle        y'=\frac{1-cosx}{sin^2x}

d) \displaystyle        y'=\frac{x}{\sqrt{(1-x^4)\;arcsin\;x^2} }

Пошаговое объяснение:

Вычислить производную.

a)

\displaystyle        y=\frac{1}{x^8}+6\sqrt[3]{x^5} -\frac{8}{\sqrt[4]{x} }

Формула производной степенной функции:

\displaystyle        \boxed {(x^n)'=nx^{n-1}}

Преобразуем данную функцию:

\displaystyle        y=\frac{1}{x^8}+6\sqrt[3]{x^5} -\frac{8}{\sqrt[4]{x} }=x^{-8}+6x^{\frac{5}{3} }-8x^{-\frac{1}{4} }

Найдем производную:

\displaystyle        y'=-8x^{-9}+6\cdot\frac{5}{3}x^{\frac{2}{3} } -8\cdot\left(-\frac{1}{4}\right) x^{-\frac{5}{4} }=\\\\=-\frac{8}{x^9} +10\sqrt[3]{x^2}+\frac{2}{\sqrt[4]{x^5} }

b)

\displaystyle        y=x\;log_5x

Формулы:

\displaystyle        \boxed {(uv)'=u'v+uv'},\;\;\;\boxed {(log_ax)'=\frac{1}{x\;lna} }

Найдем производную:

\displaystyle        y'=1\cdot{log_5x+x\cdot\frac{1}{x\;ln5} }=log_5x+\frac{1}{ln5}=log_5\;x+\frac{1}{\frac{log_55}{log_5e} } =\\\\=log_5x+log_5e=log_5(ex)

c)

\displaystyle        y=\frac{1-cosx}{sinx}

Формулы:

\displaystyle        \boxed {\left(\frac{u}{v}\right)'=\frac{u'v-uv'}{v^2}  },\;\;\;\boxed {(sinx)'=cosx},\;\;\;\boxed {(cosx)'=-sinx}

Найдем производную:

\displaystyle        y'=\frac{-(-sinx)\cdot{sinx-(1-cosx)\cdot{cosx}}}{sin^2x} =\\\\=\frac{sin^2x-cosx+cos^2x}{sin^2x} =\frac{1-cosx}{sin^2x}

d)

\displaystyle        y=\sqrt{arcsin\;x^2}

Формулы производной сложной функции:

\displaystyle        \boxed {(\sqrt{x} )'=\frac{u'}{2\sqrt{u} } },\;\;\;  \boxed{(arcsin\;u=\frac{u'}{\sqrt{1-u^2} } }.

Найдем производную:

\displaystyle        y'=\frac{(arcsin\;x)'}{2\sqrt{arcsin\;x^2} } =\\\\=\frac{\frac{(x^2)'}{\sqrt{1-x^4} } }{2\sqrt{arcsin\;x^2} } =\frac{2x}{2\sqrt{arcsin\;x^2} \sqrt{1-x^4} } =\\\\=\frac{x}{\sqrt{(1-x^4)\;arcsin\;x^2} }

#SPJ1

Вас заинтересует