• Предмет: Алгебра
  • Автор: gay2020
  • Вопрос задан 3 года назад

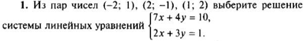
срочно решыти срочна нада

Приложения:

gay2020: если чо я не за лгбт я порофлу аву поставил)

Ответы

Ответ дал: tuptup569
0

довольно легко ответ (2,-1)

Вас заинтересует