Ответы
Ответ дал:
1
Ответ:
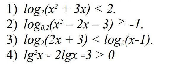
1) х є (-4;-3)\/(0;1)
2) х є [-2;-1)\/(3;4]
3)∅
4) х є (0;0,1)\/(1000;+∞)
Приложения:



Ответ дал:
2
Відповідь:
Пояснення:
фото
Приложения:



Вас заинтересует
2 года назад
2 года назад
2 года назад
7 лет назад
7 лет назад
9 лет назад