• Предмет: Физика
  • Автор: valiktkachuk
  • Вопрос задан 3 года назад

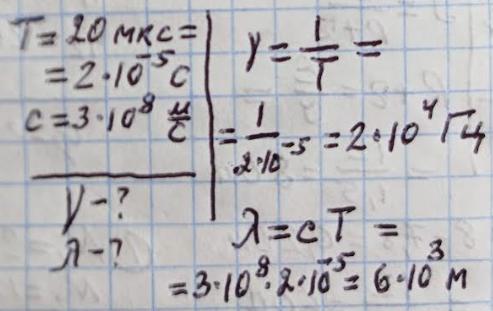
Період електромагнітних коливань 20 мкс. Визначити частоту та довжину хвилі, що відповідає цим коливанням.

Ответы

Ответ дал: zybkov1950
1

Відповідь: 20 кГц        6 км

Пояснення:

Приложения:
Вас заинтересует