• Предмет: Алгебра
  • Автор: helllty228
  • Вопрос задан 3 года назад

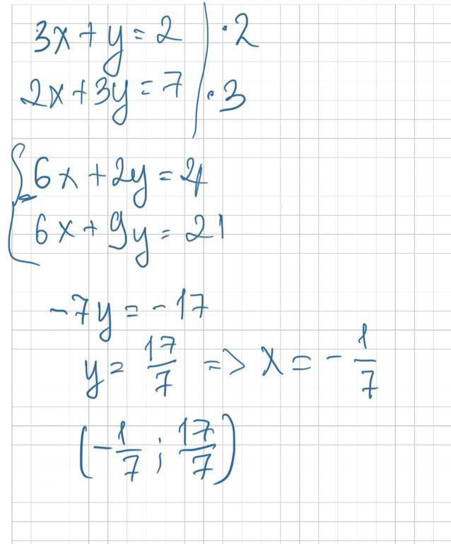
ПОМОГИТЕ ПОЖАЛУЙСТА Найдите не выполняя построения точки пересечения прямых 3x+y=2 и 2x+3y=7​

Ответы

Ответ дал: Безефик
1
Ответ на приложенном изображении. Пожалуйста, не забывайте отмечать лучший ответ.
Приложения:
Ответ дал: ildar502020
0

Ответ:   1; 5.

Объяснение:

Найдите не выполняя построения точки пересечения прямых

3x+y=2                         (1)

2x+3y=7​                          (2)

Для этого надо решить систему

Из  (1)          y=2-3x  подставим в (2)

2x+3(2-3x)=7;

2x+6-9x=7;

-7x=7-6

x=-1;          подставим в (1)

3(-1)+у=2

у=2+3

у=5.


Безефик: -7х=7-6
х=-1
куда пропала семерка?
Вас заинтересует