• Предмет: Алгебра
  • Автор: ykirdanvlad2000
  • Вопрос задан 3 года назад

помогите пешить даю 50 балов​

Приложения:

Ответы

Ответ дал: p15
0

Ответ:

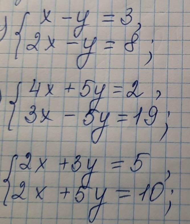
x-y=3 (1)

2x-y=8 (2)

(2)-(1)

x=5 - подставим в 1

5-y=3

y=2

4x+5y=2 (1)

3x-5y=19 (2)

(2)+(1)

7x=21

x=3- подставим в 1

4*3+5y=2

5y=-10

y=-2

2x+3y=5 (1)

2x+5y=10 (2)

(2)-(1)

2y=5

y=2.5 - подставим в 1

2x+3*2.5=5

2x=-2.5

x=-1.25

Объяснение:

Ответ дал: ludmilaksenija2005
0

Объяснение:

1)

{X-y=3 x=3+y

{2x-y=8

2(3+y)-y=8

6+2y-y=8

6+y=8

y=8-6

У=2

Х=3+2

Х=5

Ответ :(5;2)

2)

{4Х+5У=2

{3Х-5У=19

+—————

7Х=21

Х=21:7

Х=3

4×3+5У=2

12+5У=2

5У=2-12

5У= - 10

У= - 10:5

У= - 2

Ответ : (3;-2)

3)

{2Х+3У=5

{2Х+5У=10 | ×(-1)

{2Х+3У=5

{-2Х-5У= - 10

+ ——————

-2У= - 5

У=2,5

2Х+3×2,5=5

2Х+7,5=5

2Х=5-7,5

2Х= - 2,5

Х= - 1,25

Ответ :(-1,25;2,5)

Вас заинтересует