Ответы
                                            Ответ дал: 
                                                                                            
                                                    
                                                
                                                                                    
                                        
                                            
                                                
                                                
                                                
                                                    1
                                                
                                            
                                        
                                    Ответ:
 
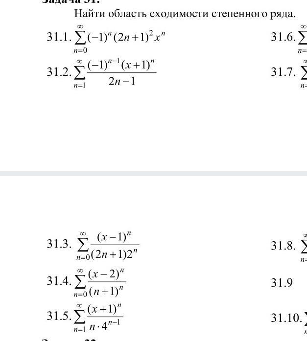
Применим признак Даламбера к ряду, составленному из абсолютных величин членов исходного ряда .
Интервал сходимости заданного ряда:    . Исследуем границы интервала.
  
Это ряд гармонический расходящийся ряд, все члены которого умножены на 4. Сходимость ряда от умножения на число не изменится . При х=5 ряд расходится .
  
Этот знакочередующийся полугармонический ряд сходится условно по признаку Лейбница . При х= -3 ряд сходится условно .
Область сходимости:     .
                    gaga5665:
                    спасибо огромное
                
            Вас заинтересует
                
                        2 года назад
                    
                
                        2 года назад
                    
                
                        2 года назад
                    
                
                        2 года назад
                    
                
                        7 лет назад
                    
                