• Предмет: Математика
  • Автор: dasheki2801
  • Вопрос задан 3 года назад

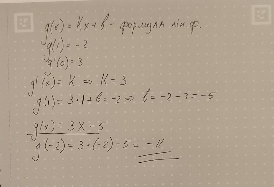
Відомо, що g(x) - лінійна функція, причому g(1)=-2, a g'(0)=3. ЗнайДiть значення g(-2).

Ответы

Ответ дал: kos2004
0

Ответ:

Ответ записан и расписан на фото

Приложения:
Вас заинтересует