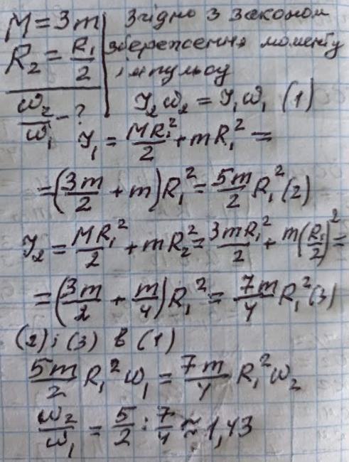
Платформа, що має форму суцільного однорідного диска, обертається за інерцією навколо нерухомоï вертикальноï осі. На краю платформи стоïть людина, маса якої в 3 рази менше маси платформи. Визначити, як і в скільки разів зміниться кутова швидкість обертання платформи, якщо людина перейде ближче до центра на відстань, що дорiвнює половині радіуса платформи. Вважати людину точковою масою.
Ответы
Ответ дал:
3
Відповідь: Збільшиться в ≈ 1,43 рази
Пояснення:
Приложения:
Вас заинтересует
2 года назад
2 года назад
2 года назад
2 года назад
8 лет назад
8 лет назад
9 лет назад
9 лет назад