Пожалуйста помогите решить неравенство.
ПИШИТЕ ПОДРОБНО!!! ЕСЛИ МОЖНО С ПОЯСНЕНИЯМИ+проверка или ОДЗ
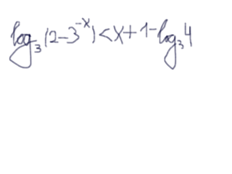
ЗАДАНИЕ ВО ВЛОЖЕНИИ(если что то не понятно отвечу)
Приложения:

Ответы
Ответ дал:
1
ответ в файле..........................
Приложения:

mmb1:
попал ...совпало только t>0 можно было не тащить его в знаменателе
Ответ дал:
1
посмотрите на листочке
вроде так как и должно быть у вашей учительницы с вывертами
вроде правильно ......?????
вроде так как и должно быть у вашей учительницы с вывертами
вроде правильно ......?????
Приложения:

Вас заинтересует
2 года назад
2 года назад
2 года назад
9 лет назад
9 лет назад