• Предмет: Физика
  • Автор: bigetsdens
  • Вопрос задан 3 года назад

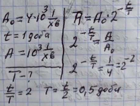
Лічильник Гейгера зареєстрував за 1 хв 4 000 β-частинок, що виникли при розпаді ядер радіоактивного ізотопу, a через 1 добу – лише 1 000 розпадів. Визначити період піврозпаду ізотопу.

Счетчик Гейгера регистрируется за 1 мин 4000 β частиц, возникающих из распадаются ядра радиоактивных изотопов, а через 1 день – всего 1000 распадов. Определяют период полураспада изотопа.​

Ответы

Ответ дал: zybkov1950
1

Відповідь: 12 год

Пояснення:

Приложения:
Вас заинтересует