• Предмет: Алгебра
  • Автор: Аноним
  • Вопрос задан 3 года назад

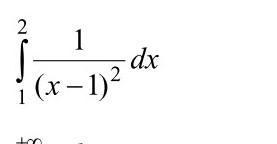
Вычислить несобственный интеграл или установить его расходимость:​

Приложения:

Ответы

Ответ дал: yugolovin
0

Ответ:

Интеграл расходится.

Объяснение:

\int \limits _1^2\dfrac{dx}{(x-1)^2}=\left.-\dfrac{1}{x-1}\right|_1^2=-\left(\dfrac{1}{2-1}-\lim\limits_{x\to 1+}\dfrac{1}{x-1}\right)=+\infty.

Замечание. На самом деле расходимость такого интеграла обычно считается заранее известной.

Вас заинтересует