• Предмет: Алгебра
  • Автор: Аноним
  • Вопрос задан 3 года назад

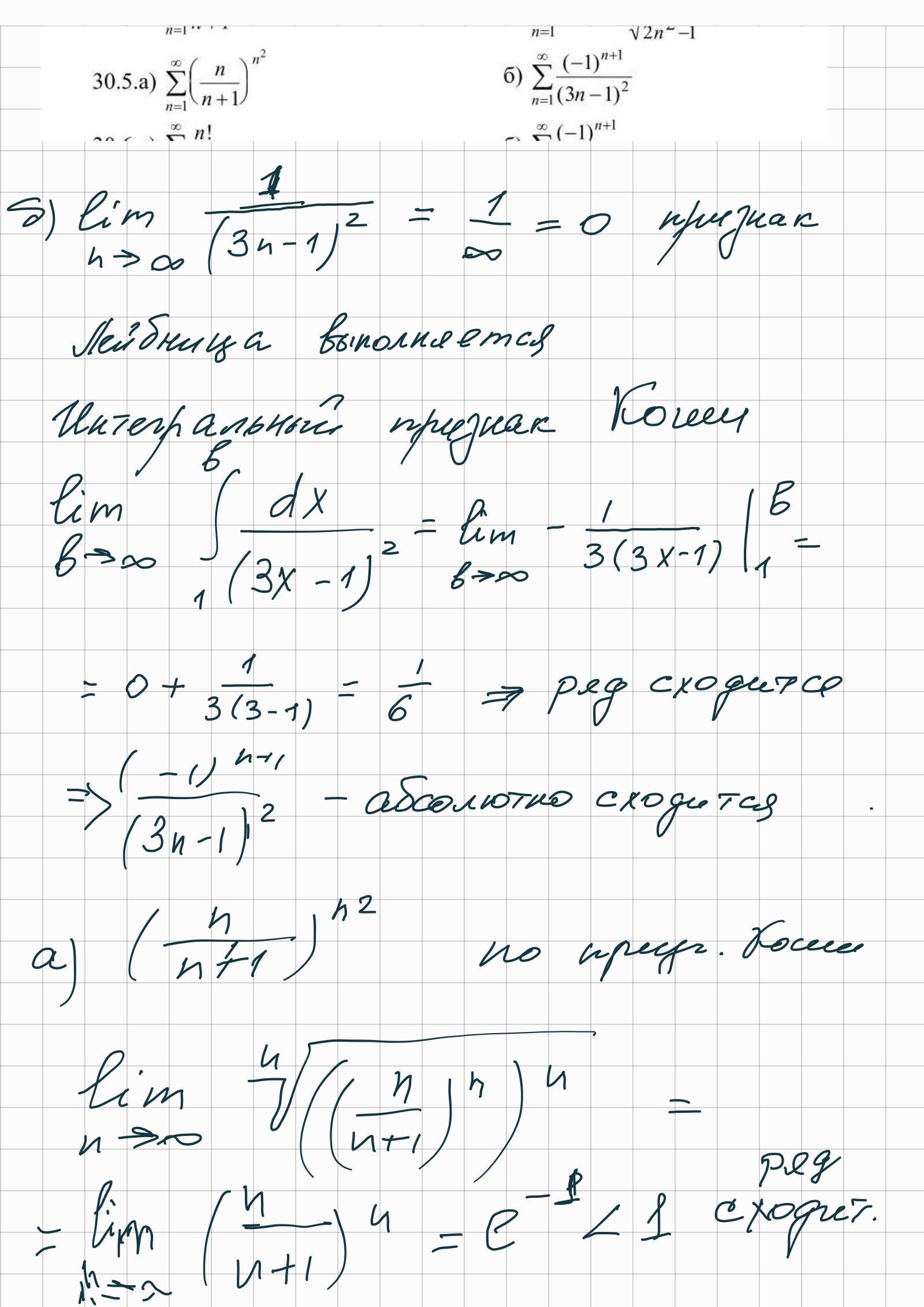
Исследовать сходимость числового ряда (в случае знакопеременного ряда -исследовать на абсолютную сходимость ​

Приложения:

Ответы

Ответ дал: olgaua64
2

Відповідь:

Пояснення:

Приложения:

Аноним: спасибо большое
olgaua64: :)
Вас заинтересует