Ответы
Ответ дал:
1
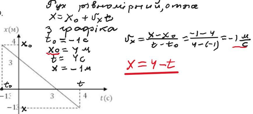
Відповідь: x(t)=4 - t
Пояснення:
Приложения:

skakunelena1990:
почему t0 = -1? если там -13?
Вас заинтересует
2 года назад
2 года назад
2 года назад
2 года назад
7 лет назад
7 лет назад
9 лет назад