• Предмет: Алгебра
  • Автор: danikstavskiy
  • Вопрос задан 3 года назад

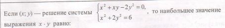
Алгебра, системы, помогите пожалуйста

Приложения:

Ответы

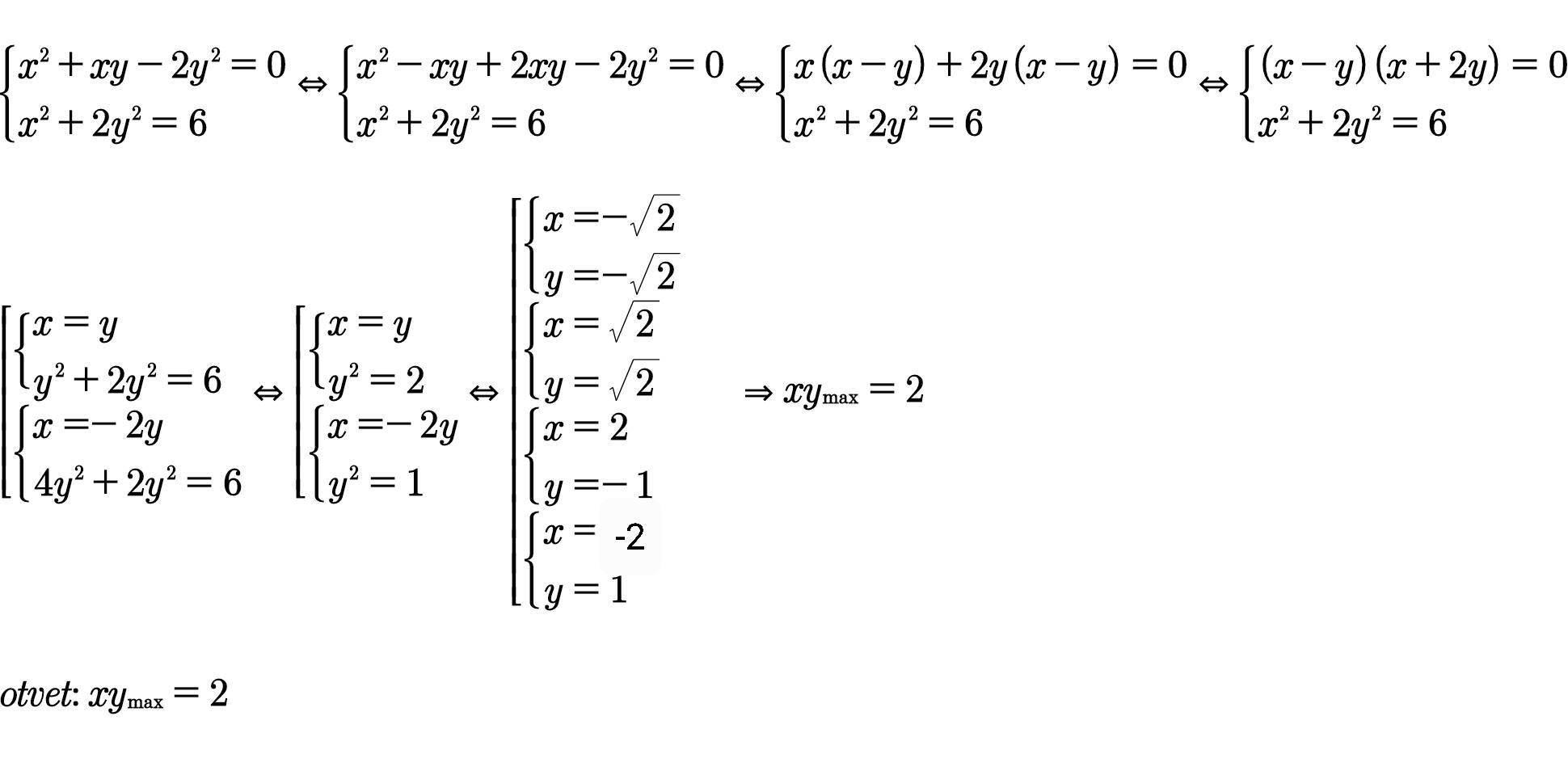
Ответ дал: palilov243659
2

Ответ:

2

Объяснение:

//////////////////////////////////////

Приложения:
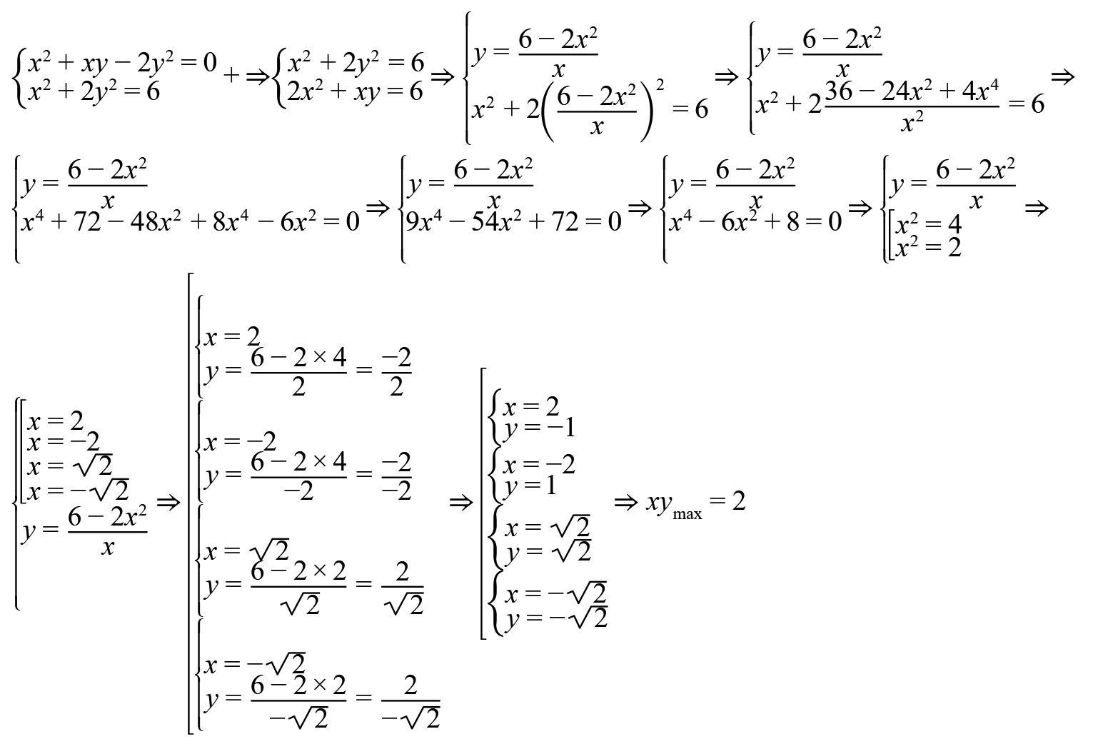
Ответ дал: tamarabernukho
6

Ответ:

Объяснение:

...................................

Приложения:

palilov243659: Тамара, исправь, пожалуйста: там, где у=1, д.б. х=-2
tamarabernukho: Да, конечно опечатка, минус потерялся, спасибо, только уже отметили нарушение
ТатМих: Красивое решение!
MatemaX9: Очень красивое решение!!!
Вас заинтересует