• Предмет: Математика
  • Автор: Reideen
  • Вопрос задан 3 года назад

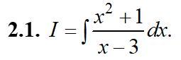
Задание приложено...

Приложения:

Ответы

Ответ дал: SpringScorpion
1

Ответ:

I=\frac{x^{2} }{2} +3x+10In|x+3|, С ∈ ℝ

Пошаговое объяснение:

I=\int\limits {\frac{x^{2}+1 }{x-3} } \, dx \\ \\I= \int\limits {x+3+\frac{10}{x-3} } \, dx \\ \\ I=\int\limits {x} \, dx +\int\limits {3} \, dx +\int\limits {\frac{10}{x-3} } \, dx \\ \\ I=\frac{x^{2} }{2} +3x+10In(|x-3|)\\ \\ I=\frac{x^{2} }{2} +3x+10In|x-3|

Ответ дал: mathkot
1

Ответ:

\boxed{\boldsymbol{\displaystyle \int {\frac{x^{2} + 1}{x - 3} } \, dx = \frac{(x - 3)^{2}}{2} + 6(x - 3) + 10 \ln|x - 3| + C}}

Примечание:

По таблице интегралов:

\boxed{\displaystyle \int x^{n} \ dx = \frac{x^{n + 1}}{n + 1} + C; n \neq -1, x > 0}

\boxed{\displaystyle \int {\frac{1}{x} } \, dx = \ln|x| + C}

По свойствам интегралов:

\boxed{ \displaystyle \int \sum\limits_{i=1}^n {C_{i}f_{i}(x)} \, dx = \sum\limits_{i=1}^nC_{i} \int {f_{i}(x)} \, dx}

Пошаговое объяснение:

\displaystyle \int {\frac{x^{2} + 1}{x - 3} } \, dx =

--------------------------------------------------------------------------------------------------------

Замена:

x - 3 = t \Longrightarrow dx = dt

x = t + 3

x^{2}  = t^{2} + 6t + 9

--------------------------------------------------------------------------------------------------------

= \displaystyle \int {\frac{ t^{2} + 6t + 9 + 1}{t} } \, dt = \int {\frac{ t^{2} + 6t + 10}{t} } \, dt =  \int { \bigg( \frac{ t^{2} }{t} + \frac{  6t}{t} + \frac{ 10}{t} \bigg) } \, dt =

\displaystyle =  \int { \bigg( t+ 6 + \frac{10}{t} \bigg) } \, dt =  \int {t} \, dt +  \int {6} \, dt+ 10\int {\frac{1}{t}} \, dt =

\displaystyle = \frac{t^{2}}{2} + C_{1} + 6t + C_{2} + 10\ln|t| + C_{3} = \frac{t^{2}}{2} + 6t + 10 \ln|t} + C =

\displaystyle = \frac{(x - 3)^{2}}{2} + 6(x - 3) + 10 \ln|x - 3| + C

Вас заинтересует