• Предмет: Математика
  • Автор: Reideen
  • Вопрос задан 3 года назад

Задание приложено...

Приложения:

Ответы

Ответ дал: SWeetieSai
0

Пошаговое объяснение:

/— интеграл

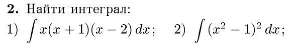
1)/х(х+1)(х-2)dx

/(x²+x)(x-2)dx

/x³-2x²+x²-2x dx

/x³-x²-2x dx

/x³ dx-/x² dx-/2x dx

\—дробь

x⁴\4 - х³\3 -х² + С, СєR

2)/(x²-1)² dx

/x⁴-2x²+1 dx

/x⁴ dx- /2x² dx+ /1 dx

x⁵\5 - 2x³\3 +x +C, CєR

Ответ дал: SpringScorpion
0

Ответ:

  1. \int {x(x+1)(x-2)}\ dx \\ \\ \int {(x^{2} +x)(x-2)}\ dx \\ \\\int {x^{2} (x-2)+x(x-2)} \, dx \\ \\  \int {x^{3} -2x^{2} +x^{2} -2x}\ dx \\ \\ \int {x^{3}-x^{2} -2x } \, dx \\ \\ \int {x^{3} } \, dx -\int {x^{2} } \, dx -\int {2x} \, dx \\ \\ \frac{x^{4} }{4} -\frac{x^{3} }{3} -x^{2}\\ \\ \frac{x^{4} }{4} -\frac{x^{3} }{3} -x^{2}+CС ∈ \mathbb R
  2. \int {(x^{2} -1)^{2} } \, dx \\ \\ \int {x^{4} -2x^{2} +1} \, dx \\ \\ \int {x^{4} } \, dx -\int {2x^{2} } \, dx +\int {1} \, dx \\ \\ \frac{x^{5} }{5} -\frac{2x^{3} }{3} +x\\ \\ \frac{x^{5} }{5} -\frac{2x^{3} }{3} +x+CС ∈ \mathbb R
Вас заинтересует