• Предмет: Математика
  • Автор: Reideen
  • Вопрос задан 3 года назад

Задание приложено...

Приложения:

Ответы

Ответ дал: mathkot
2

Ответ:

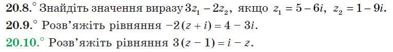
20.8

\boxed{\boldsymbol{ 3z_{1} - 2z_{2} = 13}}

20.9

\boxed{ \boldsymbol{ z = -2 + 0,5i} }

20.10

\boxed{ \boldsymbol{ z = \dfrac{1}{4}i + \dfrac{3}{4}} }

Примечание:

Комплексным числом называют число вида:

z = a +bi, где a,b \in \mathbb R, а число i - называется мнимой единицей и для которой верное тождество i^{2} = -1

Для комплексных чисел верны следующие равенства:

(a_{1} + b_{1}i) + (a_{2} + b_{2}i) = (a_{1} + a_{2}) + (b_{1} + b_{2})i

(a_{1} + b_{1}i) - (a_{2} + b_{2}i) = (a_{1} - a_{2}) + (b_{1} - b_{2})i

k(a + bi) = ka + kbi,  \ k \in \mathbb R

Пошаговое объяснение:

20.8

z_{1} = 5 - 6i

z_{2} = 1 - 9i

3z_{1} - 2z_{2} = 3( 5 - 6i) - 2(1 - 9i) = 15 - 18i - (2 - 18i) =15 - 18i - 2 + 18i =

= 15 - 2 = 13

20.9

-2(z + i) = 4 - 3i \ |:(-2)

z + i =-2 + 1,5i

z = -2 + 0,5i

20.10

3(z - 1) = i - z

3z - 3 = i - z

4z = i + 3|:4

z = \dfrac{1}{4}i + \dfrac{3}{4}

Вас заинтересует