• Предмет: Алгебра
  • Автор: Alexxx0013
  • Вопрос задан 3 года назад

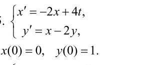
Решить методом исключения систему линейных неоднородных дифференциальных уравнений​

Приложения:

Ответы

Ответ дал: yugolovin
3

Ответ:

\left \{ {{x=e^{-2t}+2t-1} \atop {y=2e^{-2t}+te^{-2t}+t-1}} \right.

Объяснение:

Выразим из второго уравнения x через y:         x=y'+2y⇒x'=y''+2y'   и подставим в первое уравнение:

y''+2y'=-2y'-4y+4t;  y''+4y'+4y=4t.

Получили линейное неоднородное дифференциальное уравнение с постоячнными коэффициентами. Решим сначала соответствующее однородное уравнение с помощью характеристического уравнения:  

\lambda^2+4\lambda+4=0;\ (\lambda+2)^2=0;\ \lambda_{1,\, 2}=-2; y_{oo}=C_1e^{-2t}+C_2te^{-2t}.

Поскольку правая часть неоднородного уравнения является квазимногочленом, частное решение можно искать с помощью неопределенных коэффициентов:

                       \tilde y=At+B;\ \tilde y'=A;\ \tilde y''=0.

Подставив в уравнение, получаем4A+4At+4B=4t;\ \left \{ {{4A=4} \atop {4A+4B=0}} \right. ;\ \left \{ {{A=1} \atop {B =-1}} \right.;\ \tilde y=t-1,

откуда общее решение y=y_{oo}+\tilde y=C _1e^{-2t}+C_2te^{-2t}+t-1.

Отсюда

x=y'+2y=-2C_1e^{-2t}+C_2e^{-2t}-2C_2te^{-2t}+1+2C_1e^{-2t}+2C_2te^{-2t}+2t-2;

x=C_2e^{-2t}+2t-1. Остается воспользоваться начальными условиями: \left \{ {{C_2-1=0} \atop {C_1-1=1}} \right.;\ \left \{ {{C_1=2} \atop {C_2=1}} \right..

Получаем \left \{ {{x=e^{-2t}+2t-1} \atop {y=2e^{-2t}+te^{-2t}+t-1}} \right.


Alexxx0013: спасибо большое
Вас заинтересует