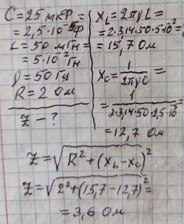
Конденсатор С=25 мкФ, котушку L=50 мГн та активний опір R=2
Ом з’єднали послідовно. Визначити повний опір кола змінного струму
на частоті ν=50 Гц.
Ответы
Ответ дал:
1
Відповідь: 3,6 Ом
Пояснення:
Приложения:

Scabra:
Спасибо
Вас заинтересует
2 года назад
2 года назад
2 года назад
7 лет назад
9 лет назад