• Предмет: Алгебра
  • Автор: dilshatdilfuza2008
  • Вопрос задан 3 года назад

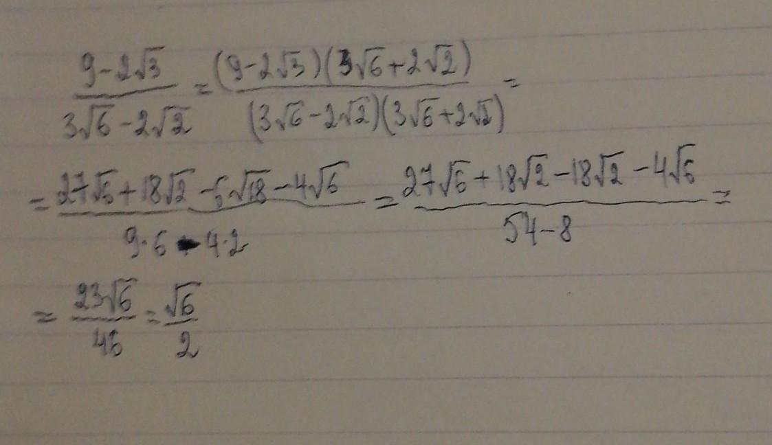
можете решит 9-2√3/3√6-2√2 пжжжжжж 20 баллов дам​

Ответы

Ответ дал: MizoriesKun
1

Смотри................................

Приложения:
Ответ дал: ludmilaksenija2005
1

Объяснение:

Решение на фото - - - __-_---__

Приложения:
Вас заинтересует