• Предмет: Алгебра
  • Автор: Аноним
  • Вопрос задан 3 года назад

РЕШИТЕ ЗАДАНИЯ ПО ТРИГОНОМЕТРИИ!!!! С РЕШЕНИЕМ СРОЧНО

Приложения:

Ответы

Ответ дал: Аноним
0
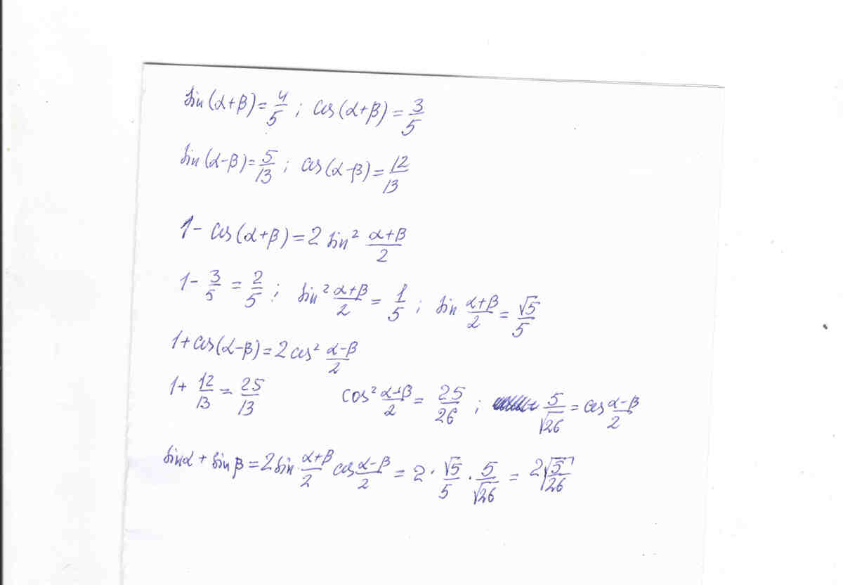
ответ в файле.....................................................................
Приложения:

Аноним: какой ответ может подойти?: 10/ корень из 130; 5/корень из 65?
Аноним: выберете ответ
Аноним: И ВЫ ВООБЩЕ НЕ ПРАВИЛЬНО НАПИСАЛИ САМ ПРИМЕР!
Аноним: ХОТЯ НЕТ ПРАВИЛЬНО
Аноним: ответ 10/корень из 130
Вас заинтересует