• Предмет: Математика
  • Автор: zayka0830
  • Вопрос задан 3 года назад

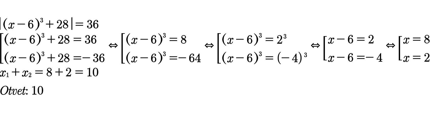
Найдите сумму корней уравнения |(х-6)³ +28| = 36​

Ответы

Ответ дал: tamarabernukho
2

Ответ:

10

Пошаговое объяснение:

.....................



Приложения:
Вас заинтересует