• Предмет: Алгебра
  • Автор: ВладаВлада2016
  • Вопрос задан 3 года назад

Допоможіть, будь ласка
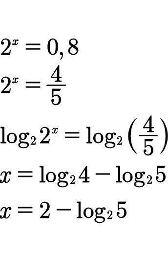
2^(x)=0.8

Ответы

Ответ дал: Аноним
2

Відповідь:

Пояснення:

фото

Приложения:
Ответ дал: tamarabernukho
2

Ответ:

Объяснение:

........................

Приложения:
Вас заинтересует