• Предмет: Физика
  • Автор: Derakin
  • Вопрос задан 3 года назад

Очень срочно!

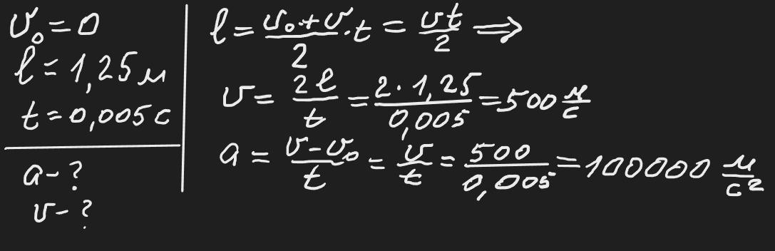
Рушнична куля рухається всередині ствола, завдовжки 1,25 м, протягом 0,005 сек. Вважаючи рух за рівноприскорений, визначити прискорення кулі й швидкість її в момент вильоту.

Ответы

Ответ дал: tarasabc
2

Відповідь:

a=100 000  V=500

Пояснення:

S=\frac{a*t^2}{2}

a=\frac{2S}{t^2}=\frac{2*1.25 }{(5*10^{-3})^2}=\frac{2.5}{2.5*10^{-5}} =10^5=100 000 м/с²

V=a*t=100 000*0.005=500 м/с

Ответ дал: zybkov1950
2

Відповідь: 100000 м/с²      500 м/с

Пояснення:

Приложения:
Вас заинтересует