• Предмет: Математика
  • Автор: playzerox8
  • Вопрос задан 3 года назад

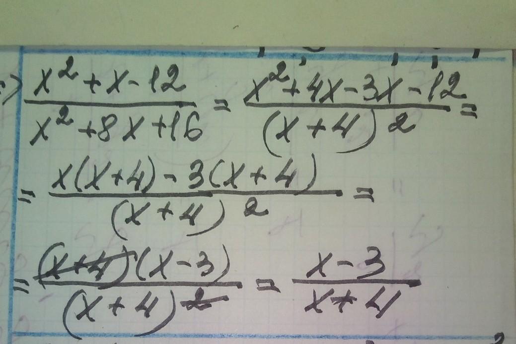
сократите дробь x2+x-12/x2+8x+16

Ответы

Ответ дал: manyny06
0

Ответ:

решение смотри на фотографии

Приложения:
Ответ дал: kos2004
0

Ответ:

Ответ записан и расписан на фото

Приложения:
Вас заинтересует