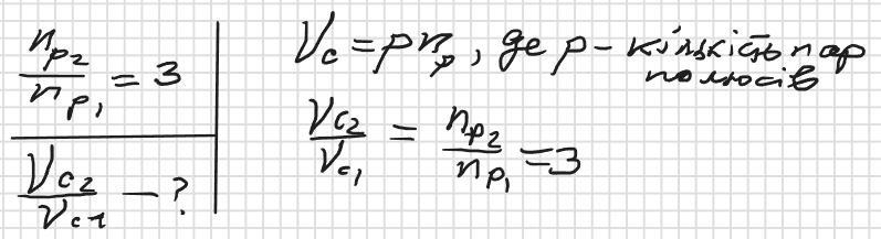
Частоту обертання дротяної рамки в однорідному магнітному полі
збільшили в 3 рази. У скільки разів зміниться частота змінного струму?
Ответы
Ответ дал:
1
Відповідь: Збільшиться у 3 рази
Пояснення:
Приложения:

Вас заинтересует
2 года назад
2 года назад
2 года назад
2 года назад
7 лет назад
9 лет назад