• Предмет: Физика
  • Автор: lalakuQQ
  • Вопрос задан 3 года назад

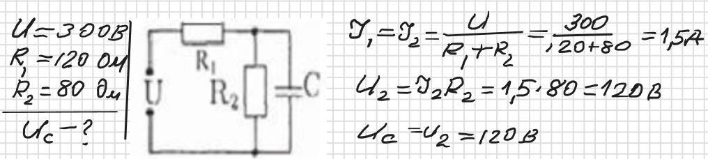
U=300B, R1=120 (Ом), R2=80(Ом)
Определить напряжение на конденсаторе.

Приложения:

Ответы

Ответ дал: zybkov1950
1

Відповідь: 120 В

Пояснення:

Приложения:
Вас заинтересует