• Предмет: Математика
  • Автор: solka0000
  • Вопрос задан 3 года назад

ТЕРМІНОВО

ВИЩА МАТЕМАТИКА

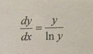
розв'язати диференціальне рівняння з відокремленими змінними

рівняння на прикріпленому фото ​

Приложения:

Ответы

Ответ дал: AWhiteFoxA
1
Рівняння не є визначеним
Приложения:

solka0000: я ще одне завдання скинула з диф рівняннями ,допоможіть ,будь ласка
Ответ дал: nepustilipoeta
1

Ответ:

㏑²y-2x=c -общее решение дифференциального уравнения.

Пошаговое объяснение:

Дифференциал функции равен произведению дифференциала аргумента на производную функции.

df(x)=f'(x)*dx

d(lny)=dy/y

нам дано уравнение с разделяющими переменными. Разделим переменные, собрав их по разные стороны от знака равенства.

(lnydy)/y=dx

∫(lnydy)/y=∫dx

∫(lny*d(lny)=∫dx

(㏑²y)/2=x+c₁

㏑²y=2x+2c₁

2с₁=с

㏑²y-2x=c -общее решение дифференциального уравнения.


solka0000: я там додала ще одне завдання на диференційні рівняння ,допоможіть ,будь ласка ,якщо можете
Вас заинтересует