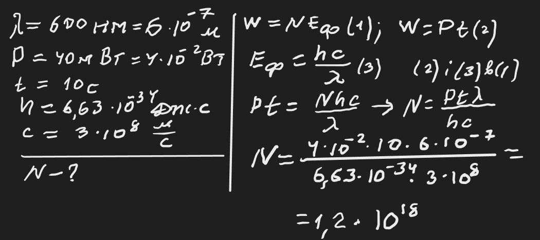
лазер у безперервному режимі випромінює світло з довжиною хвилі 600нм при потужності 40мВт , Скільки фотонів він випромінює за 10 с?
Ответы
Ответ дал:
0
Відповідь: 1,2·10¹⁸
Пояснення:
Приложения:

Вас заинтересует
2 года назад
2 года назад
2 года назад
2 года назад
7 лет назад
7 лет назад
9 лет назад