• Предмет: Математика
  • Автор: kiskovskakatusa
  • Вопрос задан 3 года назад

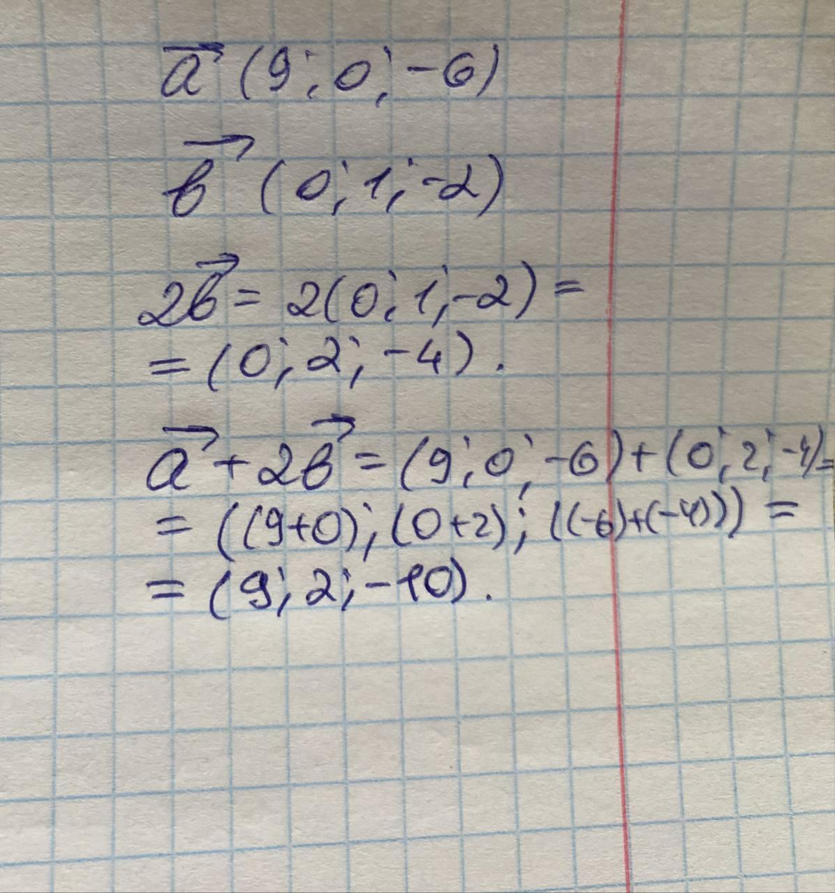
Дано вектори а(9;0;-6) в(0;1;-2).
Знайти координати вектора а+2в

Ответы

Ответ дал: yevheniiavz
1

дивіться фото...........................

Приложения:
Вас заинтересует