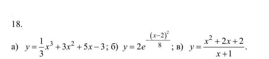
Дослідити функцію та побудувати її графік
Приложения:

yevheniiavz:
сделайте для каждой отдельно функции задание
Ответы
Ответ дал:
1
Відповідь:
Покрокове пояснення:
Приложения:



Вас заинтересует
2 года назад
2 года назад
2 года назад
7 лет назад
9 лет назад