• Предмет: Биология
  • Автор: Gifbdks
  • Вопрос задан 3 года назад

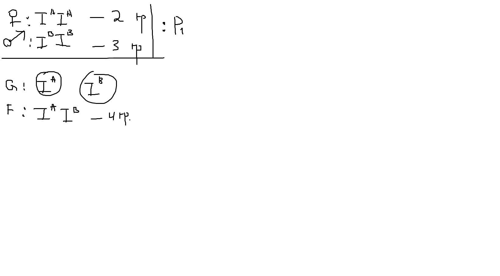
Мати гомозиготна за геном ІА , а батько – за геном ІВ . Визначте групу крові й генотип їхньої дитини.

Ответы

Ответ дал: LKnoPL
0

Ответ: 4 группа IaIb

Приложения:
Вас заинтересует