• Предмет: Алгебра
  • Автор: microniq0852
  • Вопрос задан 3 года назад

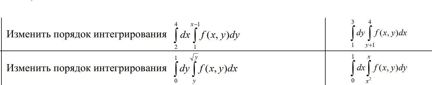
Изменить порядок интегрирования.
правее ответы на задания

Приложения:

Ответы

Ответ дал: pushpull
0

Ответ:

ответы в объяснениях

Объяснение:

1) Для изменения порядка интегрирования построим область интегрирования.

2 ≤ x ≤ 4;  1 ≤ y ≤x-1

у = х - 1    ⇒   х = у + 1

Теперь по графику мы видим, что у нас изменяются

у от 1 до 3

х от у+1   до 4

Тогда мы получим

\displaystyle \int\limits^4_2 {} \, dx \int\limits^{x-1}_1 {f(x,y)} \, dy =\int\limits^3_1 {} \, dy\int\limits^4_{y+1} {f(x,y)} \, dx

рис 1

2)

x=√y   ⇒ y = x²

х = у

Область интегрирования

0 ≤ y ≤ 1;    y ≤ x ≤ √y

Определяемся с новыми границами.

х изменяется от 0 до 1

у изменяется от х² до х

\displaystyle \int\limits^1_{0} \, dy\int\limits^{\sqrt{y} }_y {f(x},y) \, dy=\int\limits^1_0 {} \, dx \int\limits^x_{x^2} {f(x,y)} \, dy

рис 2

3)

х = у + 1     ⇒    у =  х - 1

Область интегрирования

1 ≤ y ≤ 3

y+1 ≤ x ≤ 4

По графикам определяем новые пределы интегрирования

2 ≤ x  ≤ 4

1 ≤ y ≤ x - 1

Получаем

\displaystyle \int\limits^3_1 {} \, dy\int\limits^{4}_{y+1}{f(x},y) \, dx=\int\limits^4_2 {} \, dx \int\limits^{x-1}_{1} {f(x,y)} \, dy

рис 3

4)

y = x  

y=x²    x=√y

Область интегрирования

x² ≤ y ≤ x

0 ≤ x ≤ 1

По графикам определяем новые пределы интегрирования

√y ≤ x  ≤ y

0 ≤ y ≤ x 1

Получаем

\displaystyle \int\limits^1_0  \, dx \int\limits^{x}_{x^2}{f(x},y) \, dy=\int\limits^1_1 {} \, dy \int\limits^{y}_{\sqrt{y}} {f(x,y)} \, dx

рис 4

#SPJ1

Приложения:
Вас заинтересует